Home (magnetism)
Bi, Bismuth
Wikipedia (It is a brittle metal with a silvery white color when freshly produced, but is often seen in air with a pink tinge owing to surface oxidation)
It is diamagnetic at room temperature. Susceptibility = - 2.801E-4 emu/mol from
this table
- BiFeO3
-
= Bismuth ferrite, also commonly referred to as BFO in Materials Science wiki
Antiferomagnetic with Neel temperature approximately 653 K.
Most promising multiferoic material.
- Bi2Fe4O9
-
Multiferroic.
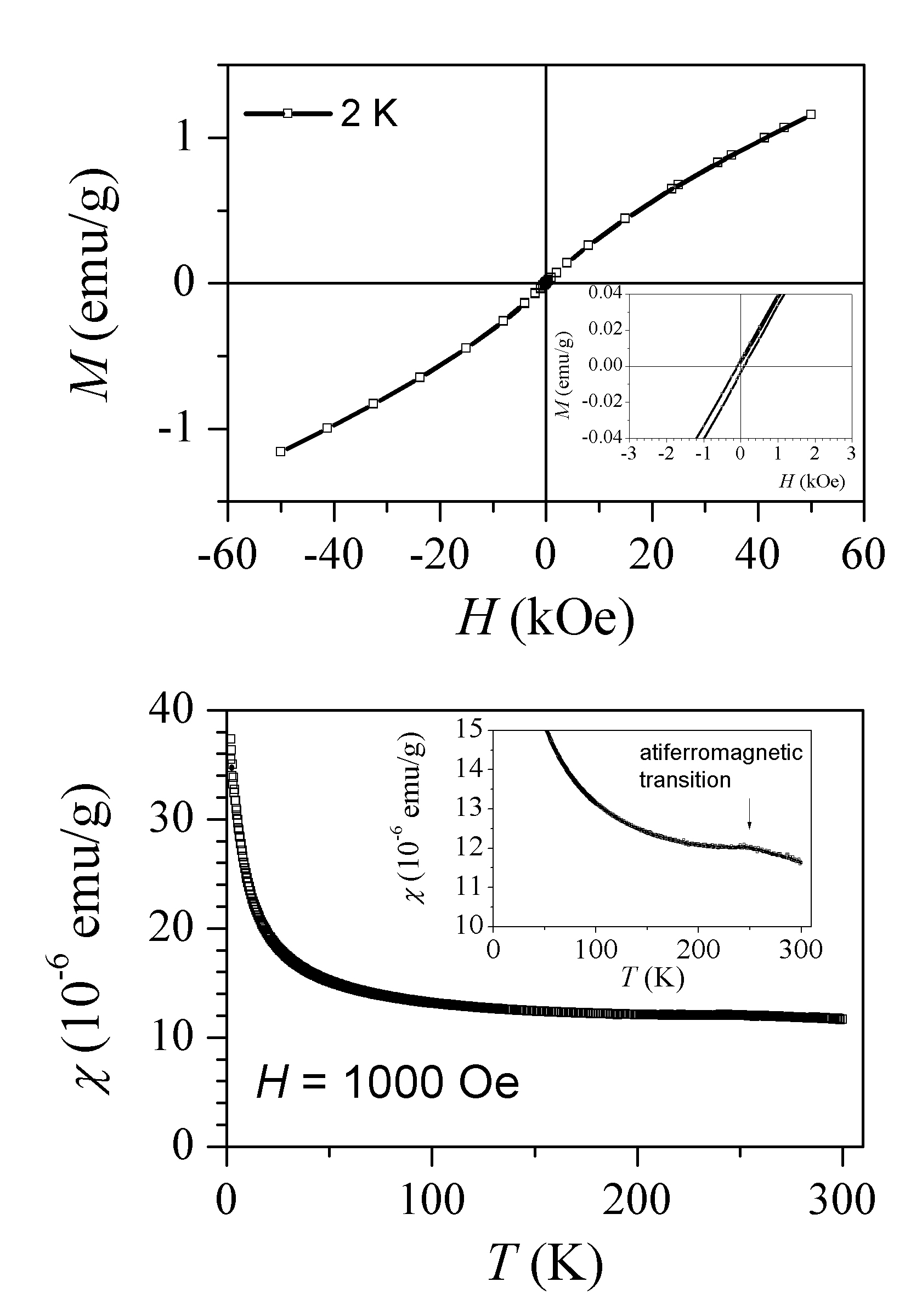
Antiferromagnetic with TN approx. 240 K. Here are data on nanoparticles measured in Ljubljana
- Bi2Te3
-
= Bismuth Telluride.
According to this old paper it should be diamagnetic. Ref.