Co2+ (Ashcroft) 3d7 configuration, 4F9/2 ground state term, peff=3.87 calculated for J=S, peff=6.54 for J = |L+-S|, peff=4.8 measured.
Co3+ [Ar] + 3d6 configuration.
Co3+ and Co4+ spin states, octahedral environment, page 235
| High spin | Intermediate spin | Low spin | |
| Co4+ | S=5/2, mu_eff=5.9 BM, XT= 4.35 emu K/mol | S=3/2, mu_eff=3.9 BM, XT= 1.90 emu K/mol | S=1/2, mu_eff=1.7 BM, XT= 0.36 emu K/mol |
| Co3+ | S=2, mu_eff=4.9 BM, XT= 3.00 emu K/mol | S=1, mu_eff=2.8 BM, XT= 0.98 emu K/mol | S=0, mu_eff=0 |
| Co2+ | S=3/2, | S=1/2, |
About HS, LS and IS Co3+ ions: S. Istomin et al, Dalton Transactions, 2015
Structure: Hexagonal [http://en.wikipedia.org/wiki/Cobalt]
"Cobalt is a shiny, grey, brittle metal with a close packed hexagonal (CPH) crystal structure at room temperature but which changes at 421°C to a face centred cubic form."[ http://www.aerodynealloys.com/products/cobalt/properties.php]
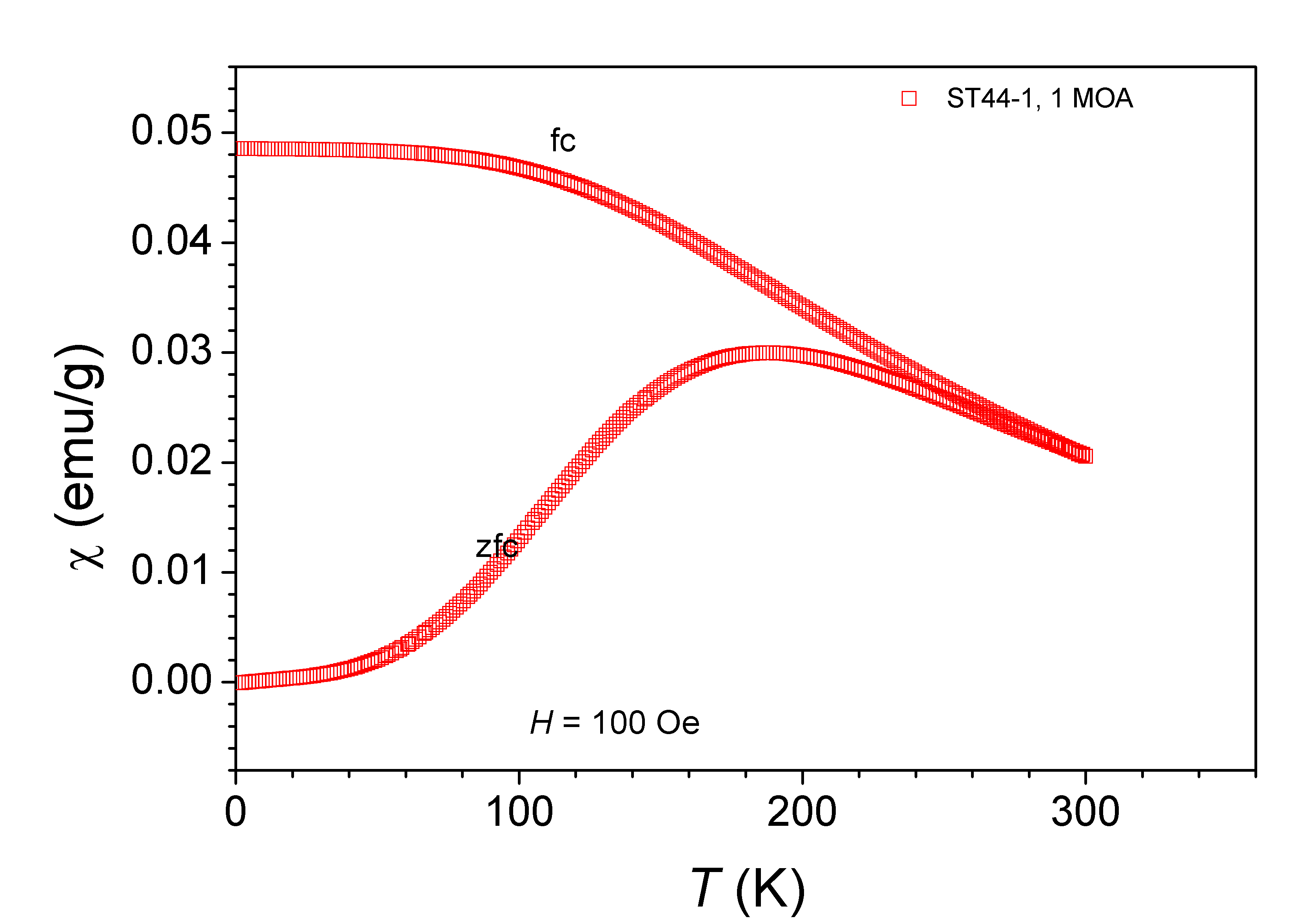
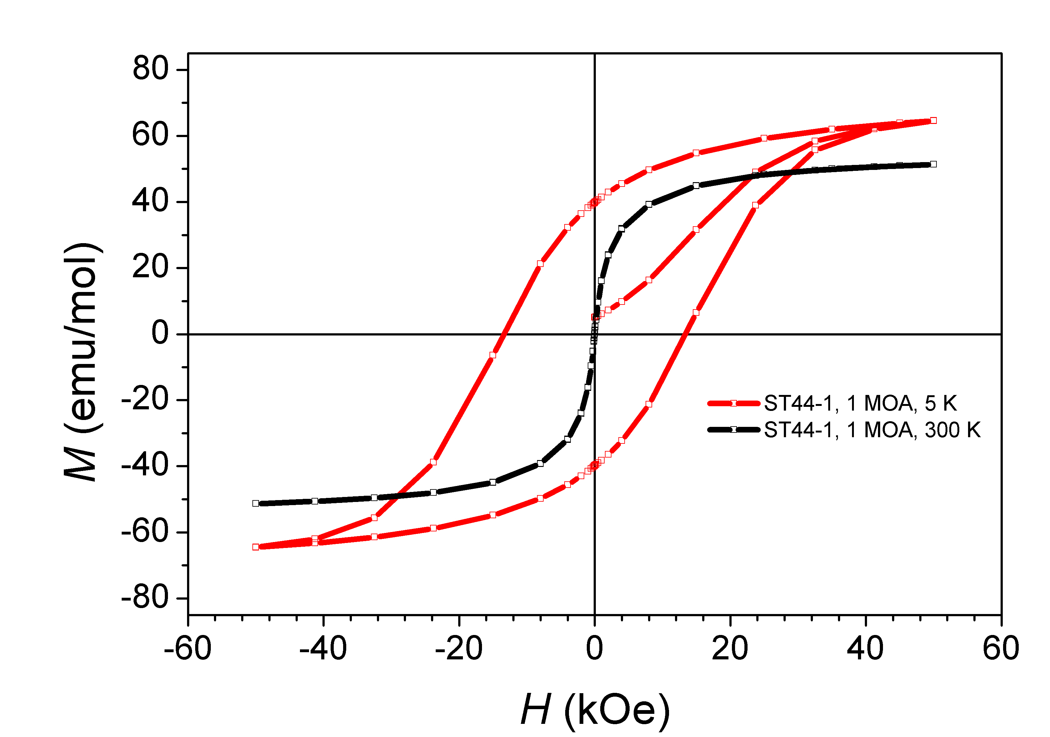
Nanoparticles: superparamagnetic at room temperature and above. Blocking temperature depends on NP diameter. For example: 100 Oe, TB = 77 K for 4 nm NP [Contrast Media Mol. Imaging 3 150-156 (2008)]
Structure: cubic, cF8, Space group Fm3m, No. 225 [Wiki]
Nanoparticles: "The small nanoparticles do not exhibit a distinct antiferromagnetic transition around 300 K as the bulk sample" [Chem. Mater., 2005, 17 (9), pp 2348–2352 DOI: 10.1021/cm0478475]
Co3O4 is an antiferromagnet with TN=30 K.
Co3O4 has the normal spinel structure. Co2+ on the A site become antiferromagnetically ordered at 40 K, and Co3+ on the B site (in a low spinel state) is diamagnetic. [PRB, 9, 3658 (1974)]
Structure: Co3O4 adopts the normal spinel structure, with Co2+ ions in tetrahedral interstices and Co3+ ions in the octahedral interstices of the cubic close-packed lattice of oxide anions. [wiki: http://en.wikipedia.org/wiki/Cobalt(II,III)_oxide#cite_note-G.26E-1]
Nanoparticles: See above.Nanoparticles has TN below that of bulk.
Structures of all three Co-oxides are well described in the thesis, preparation here
Co2O3 is formed from oxidation of Co(OH)2.
CoO when heated at 600-700°C converts to Co3O4
Co3O4 when heated at 900-950°C reconverts back to CoO